Contrato da cantora Taylor Swift permite quebrar câmeras de fotógrafos
Na última semana, a cantora Taylor Swift enviou uma carta aberta para a Apple Music, exigindo mudança na política de royalties da empresa. Ela anteriormente havia retirado suas músicas do Spotify. Porém, isso resultou em uma reviravolta inesperada para a cantora americana.

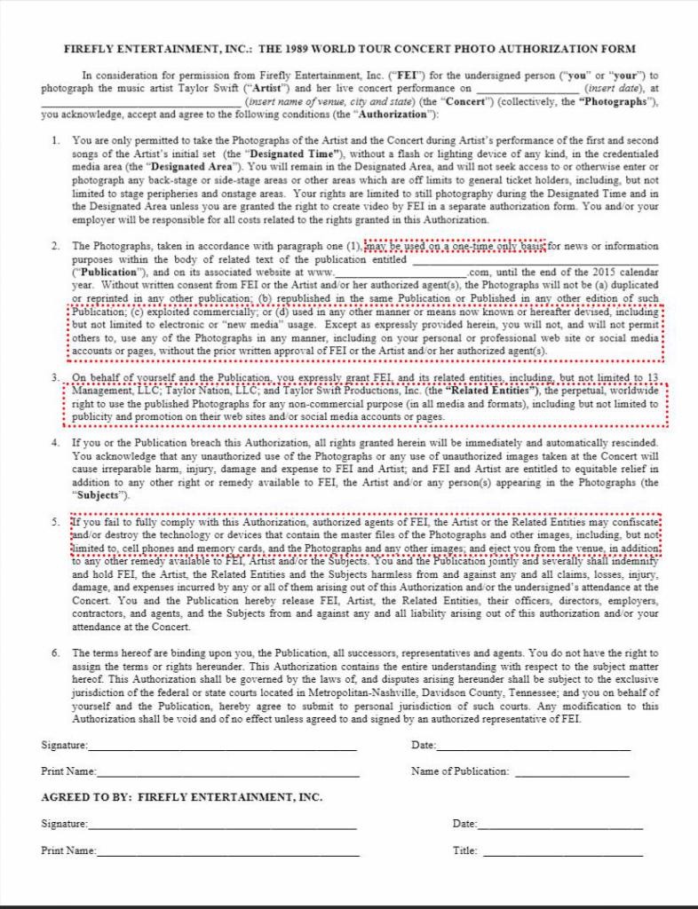
O fotógrafo Jason Sheldon postou sua própria carta aberta à Swift, juntamente com uma cópia do formulário de autorização para fotografar nos shows da estrela pop. Sheldon argumenta que Swift é hipócrita por querer que músicos sejam pagos pelo seu trabalho enquanto ela era culpada por distribuir um contrato que priva fotógrafos dos mesmos direitos.

O contrato não retira, de forma alguma, o direito autoral do fotógrafo, mas, basicamente, permite à empresa de Taylor Swift, Firefly Entertainment, Inc, utilizar as fotos da forma que quiser, enquanto os fotógrafos podem apenas possuí-las, não sendo liberada a utilização de forma alguma.

Mas essa não é a pior clausula do contrato. Outro fotógrafo, Joel Goodman, postou uma cópia dos novos formulários de autorização, e não só eles contêm ainda a redtrição de direitos, com adicionam uma nova cláusula um tanto perturbadora.
A Cláusula 5 declara explicitamente que, se um fotógrafo não cumprir qualquer parte do contrato, o que inclui a publicação de uma imagem mais de uma vez ou tentar vender uma, permite à Firefly Entertainment, Inc., confiscar e/ou destruir a câmera, equipamentos ou dispositivos que contêm os arquivos das fotografias.

É importante ressaltar que Taylor Swift pode ser totalmente ignorante dos termos desses tipos de acordos de fotos. A cantora ainda não deu declarações em relação ao assunto das fotografias.
FONTE: COS





2 Comentários